Coming to Statistica  
in 2022/2023

Phone/iPad apps

Group Classes

Interactive Webinars

Blog

Guestbook

Please contact Statistica
with questions or comments.
 © Copyright 2022  Statistica
 All rights reserved
.

E-mail        anne@statistica.com.au

Phone           (08) 9457 2994

Place         Willetton, Western Australia

Twitter        @Anne_statistica

BuiltWithNOF
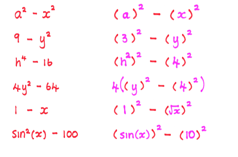
Difference of two Squares

Mathematics & Statistic Tutor Perth - SPSS Help   

Contact us
Services
Mathematics
Statistics
Parents

The Difference of Two Squares

Strangely enough this type of factorising
 is exactly what it says that is
The subtraction of two squared terms.

[Home] [Parents] [Contact us] [Services] [Mathematics] [Statistics] [School]