Anne

Coming to Statistica  
in 2022/2023

Zoom tutorials
using Explaineverything app
We a record sessions for you to listen to later

CALL STATISTICA NOW

 

Please contact Statistica
with questions or comments.
 © Copyright 2022  Statistica
 All rights reserved
.

E-mail     anne@statistica.com.au

Phone           (08) 9457 2994

Place         Willetton, Western Australia

Twitter        @Anne_statistica

BuiltWithNOF
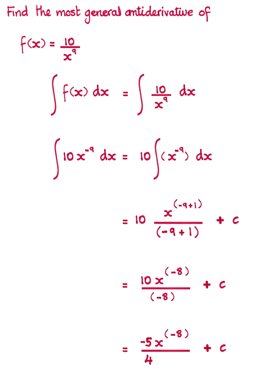
Antiderivative
 or Integral

Mathematics & Statistic Tutor Perth - SPSS Help   

Another example of simple integration

 

Next Applied Integration to find original function

[Home] [Parents] [Contact us] [Services] [Mathematics] [Statistics] [School]
Google+